지식의 정원

반응형

고대 기하학의 보석, 헤론의 공식

삼각형의 넓이를 구하는 방법에는 여러 가지가 있지만, 변의 길이만으로 넓이를 계산할 수 있는 놀라운 공식이 있습니다. 바로 헤론의 공식(Heron's Formula)입니다. 이 공식은 고대 그리스의 수학자 헤론(Heron of Alexandria, 기원후 10~70년경)에 의해 정립되었으며, 삼각형의 세 변의 길이를 알 때 넓이를 손쉽게 계산할 수 있습니다.

 

헤론의 공식은 삼각형의 높이를 직접 구하지 않아도 된다는 점에서 실용적이며, 기하학뿐만 아니라 물리학, 공학, 천문학 등 다양한 분야에서 활용되고 있습니다. 이번 글에서는 헤론의 생애와 업적, 헤론의 공식의 유도 과정, 다양한 응용 사례를 통해 이 공식의 매력을 탐구해보겠습니다.

 

헤론의 생애와 업적

헤론은 고대 알렉산드리아에서 활동한 그리스 수학자이자 공학자입니다. 그는 기하학, 물리학, 기계공학 등 다양한 분야에서 뛰어난 업적을 남겼으며, 특히 실용적인 문제 해결에 관심이 많았습니다.

 

헤론은 수학과 공학을 결합한 연구를 진행했으며, 그 결과 여러 기계 장치를 발명했습니다. 예를 들어, 자동문 장치, 증기 기관의 원형인 헤론의 분수 등이 그의 발명품 중 하나입니다. 그는 또한 기하학에 대한 깊은 이해를 바탕으로 삼각형의 넓이를 구하는 헤론의 공식을 정립하였습니다.

 

그의 저서 『메트리카(Metrica)』에서 헤론의 공식이 등장하는데, 이 책은 기하학적 도형의 넓이와 부피를 계산하는 방법을 체계적으로 정리한 수학서입니다. 헤론은 기하학적 문제를 수학적으로 해결하는 데 그치지 않고, 실생활에 적용할 수 있는 실용적인 방법을 탐구하였습니다.

헤론

헤론의 공식의 유도 과정

헤론의 공식은 삼각형의 세 변의 길이만 알면 넓이를 구할 수 있는 공식입니다. 다음과 같은 형태로 나타낼 수 있습니다.

$$A=\sqrt{s\left(s-a\right)\left(s-b\right)\left(s-c\right)}$$

여기서,

  • A : 삼각형의 넓이
  • a,b,c : 삼각형의 세 변의 길이
  • s : 삼각형의 반둘레 (semi-perimeter)로, \(s=\frac{a+b+c}{2}\)

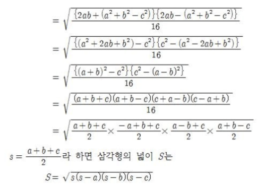
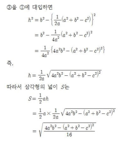
1. 유도 과정 개요

헤론의 공식은 삼각형의 넓이를 삼각함수를 사용하지 않고 구할 수 있다는 점에서 매우 독특합니다. 이 공식은 피타고라스 정리와 삼각형의 사인 법칙을 이용하여 유도할 수 있습니다.

2. 유도 과정 상세 설명

  1. 삼각형의 세 변의 길이를 a, b, c라 하고, 이에 대한 반둘레를 \(s=\frac{a+b+c}{2}\) 로 정의합니다.
  2. 삼각형의 높이를 h, 밑변을 a, 그에 대응하는 넓이를 A라고 할 때, 기본 넓이 공식은 다음과 같습니다.$$A=\frac{1}{2}ah$$
  3. 삼각형의 넓이를 삼각함수를 사용하지 않고 변의 길이만으로 표현하기 위해, 사인 법칙과 피타고라스 정리를 사용하여 h를 소거합니다.
  4. 복잡한 대수적 계산을 통해 최종적으로 헤론의 공식이 도출됩니다.

자세한 공식 유도 과정은 아래 이미지를 참고해보세요 : )

헤론의 공식 응용 사례

헤론의 공식은 단순히 삼각형의 넓이를 구하는 것에서 그치지 않고, 다양한 분야에서 실용적으로 응용됩니다. 대표적인 예는 다음과 같습니다.

1. 측량과 지형학

측량학에서 삼각형을 이용한 면적 계산은 기본 중의 기본입니다. 특히, 높이를 직접 측정하기 어려운 경우 헤론의 공식이 매우 유용하게 사용됩니다. 예를 들어, 산의 면적이나 호수의 경계를 측정할 때, 변의 길이만 알면 넓이를 쉽게 구할 수 있습니다.

 

고대 이집트와 그리스에서는 나일강 범람 후 토지의 경계가 불분명해지면 삼각형을 이용해 면적을 측정했습니다. 현대에서도 비슷한 방식이 사용되며, GPS 기기를 통해 각 지점 간 거리를 측정한 후 헤론의 공식을 적용하여 지형의 넓이를 구합니다. 또한, 항공 사진 측량이나 위성 데이터를 활용한 GIS(지리 정보 시스템)에서도 삼각형 단위로 구분하여 면적을 계산합니다.

 

헤론의 공식은 특히 산악 지형이나 울퉁불퉁한 경계에서 효과적입니다. 높이나 경사를 직접 측정하기 어려운 상황에서도, 기지점 간 거리만 알면 삼각형으로 분할하여 정확한 면적을 계산할 수 있기 때문입니다. 이는 토지 평가, 건축 설계, 환경 보호 등 다양한 분야에서 실용적으로 활용됩니다.

2. 공학과 물리학

공학에서는 삼각형 구조물을 설계하거나 강도 분석을 할 때 면적 계산이 필요합니다. 헤론의 공식은 구조물의 안정성 분석, 재료의 물리적 성질 계산 등에 활용됩니다.

 

예를 들어, 건축 설계에서 트러스 구조물의 삼각형 모듈은 강한 내구성을 자랑하며, 이를 설계할 때 각 삼각형의 면적을 계산하여 하중 분포와 강도를 분석합니다. 또한, 교량이나 타워와 같은 대형 구조물에서도 삼각형 패널의 면적을 구해 하중을 균등하게 분산시키는 설계를 할 수 있습니다.

 

물리학에서는 삼각형 모양의 물체가 받는 압력과 응력 분포를 계산할 때 헤론의 공식을 사용합니다. 예를 들어, 유체역학에서는 삼각형 단면의 배수관이나 삼각형 날개 모양의 비행기 부품에 작용하는 압력을 계산할 때 유용하게 쓰입니다. 또한, 재료공학에서는 삼각형 단면의 복합재료의 물리적 성질을 분석하여 최적의 설계와 생산 방법을 결정합니다.

3. 천문학과 지리학

천문학에서는 별과 행성 사이의 거리를 계산하거나, 지리학에서는 지구 곡면 위의 삼각형 면적을 구할 때 헤론의 공식을 사용합니다. 이는 위도와 경도를 바탕으로 지표면 거리를 계산하는 데 매우 유용합니다.

 

예를 들어, 천문학자 히파르코스(Hipparchus)는 삼각형을 이용해 별의 위치를 측정하고, 지구와 달 사이의 거리를 계산했습니다. 현대 천문학에서도 별의 시차(Parallax)를 측정하여 거리를 계산할 때 삼각형을 사용하며, 이때 헤론의 공식이 활용됩니다. 히파르코스에 대한 포스팅도 있으니 궁금한 분은 아래 포스팅을 참고하세요^^

 

히파르코스와 삼각법의 탄생 - 천문학과 수학의 조화 (수학, 시간을 걷다 #9)

고대 천문학의 선구자, 히파르코스고대 그리스 시대는 과학과 수학이 비약적으로 발전하던 시기였으며, 그 중심에는 히파르코스(기원전 190년경~120년경)라는 위대한 천문학자이자 수학자가 있

edugarden.tistory.com

 

지리학에서는 구면 삼각법(Spherical Trigonometry)과 결합하여 지구 표면의 삼각형 면적을 계산합니다. 특히, 위도와 경도를 이용해 삼각형을 구성하고, 이를 통해 대륙의 면적, 해양의 크기 등을 구합니다. 또한, 항공기와 선박의 항로 계획에도 사용되며, 지구의 곡률을 고려한 정확한 거리 계산이 가능합니다.

 

헤론의 공식은 이렇게 다양한 학문 분야에서 응용되며, 단순한 삼각형 넓이 계산을 넘어 공학적 설계, 물리학적 분석, 천문학적 거리 측정, 지리학적 지도 제작에 이르기까지 폭넓게 활용되고 있습니다.

 

헤론의 공식의 한계와 확장

헤론의 공식은 매우 강력한 도구이지만, 다음과 같은 한계가 있습니다.

 

  • 삼각형의 세 변의 길이가 주어져야 하며, 변의 길이가 실수일 때만 사용할 수 있습니다.
  • 넓이가 음수가 나오는 경우는 삼각형이 성립하지 않음을 의미합니다.

 

그러나 이러한 한계에도 불구하고, 헤론의 공식은 다양한 확장 가능성을 가지고 있습니다. 예를 들어, 사각형이나 다각형의 넓이를 구할 때 삼각형으로 분할하여 헤론의 공식을 적용할 수 있습니다. 또한, 구면 삼각형의 넓이를 구할 때도 변형된 헤론의 공식이 사용됩니다.

 

수학적 아름다움, 그리고 실용성

헤론의 공식은 고대 그리스 수학의 아름다움과 실용성을 동시에 보여주는 공식입니다. 변의 길이만으로 넓이를 구할 수 있다는 간결함은 오늘날에도 다양한 분야에서 유용하게 활용되고 있습니다. 또한, 복잡한 삼각함수를 사용하지 않고 대수적인 접근으로 문제를 해결하는 방식은 수학적 사고의 깊이를 더해줍니다.

헤론이 남긴 유산은 단순한 공식 하나에 그치지 않으며, 수학이 실용적 문제 해결의 도구임을 보여주는 중요한 예시입니다. 그의 연구는 수학과 공학, 과학의 경계를 넘나들며, 현대에도 여전히 빛나는 수학적 진리로 남아 있습니다.

반응형

공유하기

facebook twitter kakaoTalk kakaostory naver band